Want to create interactive content? It’s easy in Genially!
Get started free
Test
Eliette Aubry
Created on September 21, 2023
Start designing with a free template
Discover more than 1500 professional designs like these:
View
The Power of Roadmap
View
Simulation: How to Act Against Bullying
View
Artificial Intelligence in Corporate Environments
View
Internal Guidelines for Artificial Intelligence Use
View
Interactive Onboarding Guide
View
Word Search
View
Sorting Cards
Transcript
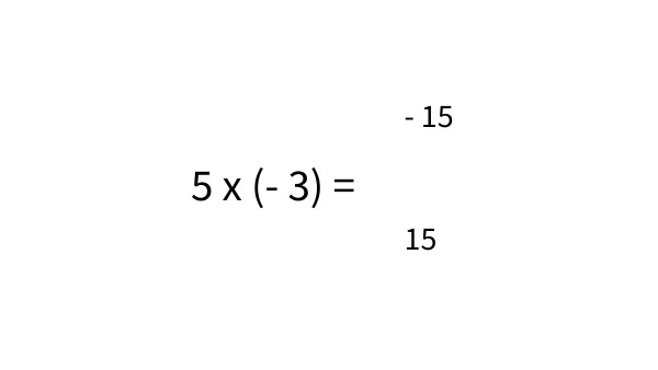
- 15
5 x (- 3) =
15
Félicitations !
- 15
(-3) + (-3) + (-3) + (-3) + (-3) =
Je ne sais pas
15€
Tu as dépensé 5 fois 3€. Combien as-tu perdu au total ?